В судейском корпусе Украины назревает очередной крупный скандал. Старт ему был положен 5 марта.
В этот день Государственная судебная администрация спустила на местные хозяйственные суды страны вариант нового штатного расписания.
Этим документом предусматривается оставить без изменений "штатку" только одного хозсуда Украины, а также увеличить на 15% кадровый ресурс столице. В остальных же регионах число судей сократят в 2-4 раза.
Причем, в юридических кругах распространено мнение, что аналогичным сокращениям вскоре будут подвергнуты не только хозяйственные, но и другие суды. Инициатором же данных изменений называют Администрацию президента, которая таким образом пытается получить еще один рычаг давления на судей.
"Страна" разбиралась, что означают очередные революционные намерения в судебной системе и к каким последствия они могут привести.
Мартовские заготовки ГСА
Как рассказали "Стране" в пресс-службе Государственной судебной администрации, рассылка "шахматки" с указанием численности состава местных хозсудов действительно состоялась буквально перед началом Съезда судей. Более подробные комментарии автору этих строк на Липской пообещали предоставить позже (редакция их обнародует после получения ответов).
Впрочем, вариант штатной численности, благодаря источникам в судейском корпусе, оказался в распоряжении редакции.
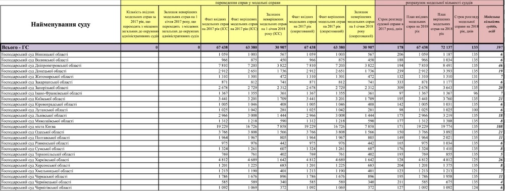
Он предусматривает установление лимита судей для 25 работающих местных судов хозяйственной юрисдикции (за исключением хозсудов в АР Крым и Севастополе, которые выведены за скобки). Их в ГСА окрестили категорией "модельное количество судей", суммарное количество которых должно составить 397 человек.

Вариант штатного расписания, разосланный Государственной судебной администрацией в хозяйственные суды Украины, источник фото: "Страна"
Сведения наших источников о подлинности "шахматки" фактически подтвердил накануне руководитель Государственной судебной администрации Зеновий Холоднюк. Выступая перед делегатами Съезда судей, он заявил – ГСА направила во все суды сразу две раскладки. Речь идет о расчете сроков на рассмотрение "модельного" (образцового) дела и нормативной численности штата судей.
При этом именно от хозсудов на Липской заранее ожидали наиболее жесткую критику.
"Я думаю, что для отдельных судов, в частности, хозяйственной юрисдикции первой инстанции, будет несколько шоковое состояние. Потому что нормативная численность, которая планируется, значительно меньше нынешней. Мы это сделали, чтобы вы понимали, откуда берутся расчеты и откуда взялась новая нормативная численность. Основной показатель – это статистика за прошлый год", – приводит слова Холоднюка "Судебно-юридическая газета".
Как и почему изменяли количество судей хозяйственной юрисдикции
Что же должно было повергнуть в шок судей хозсудов? Для этого следут обратиться к истории вопроса о том, каким образом комплектовались эти суды, занимающиеся рассмотрением споров в сфере экономических правоотношений.
Экс-министр юстиции Елена Лукаш говорит "Стране", что курс на увеличение штатной численности хозяйственных судов в Украине был взят с середины-конца 90-х годов. Этот процесс был связан с начавшимся восстановлением экономики, приватизацией и первичным накоплением частных капиталов. Ввиду чего востребованной оказалась специализация хозсудов, призванных решать корпоративные споры, дела о банкротстве, а также выносить вердикты в делах, касающихся прав собственности (в том числе интеллектуальной) и земли.
"Хозсуды имели дело с реальной экономикой. Их решения могли как обеспечить приток инвестиций, так и обречь города и села на вымирание, если банкротом признавалось местное предприятие", – говорит "Стране" один из судей в отставке.
В итоге к началу 2011 года Государственная судебная администрация своим приказом утвердила общую численность хозсудов всех инстанций в количестве 1175 судей. Из них на 27 судов хозяйственной юрисдикции первой инстанции приходилось 760 "штыков".

.jpg)
Штатное расписание хозяйственных судов Украины трех инстанций образца 2011 года, источник фото: court.gov.ua
Но уже после событий Евромайдана на Липской сразу четыре раза меняли данное штатное расписание.
Хроника сокращений: минус Крым, часть Донбасса и чистка в регионах
Первоначально эти пертурбации были связаны с перетасовкой количества судей в пяти хозсудах первой инстанции, затем – сокращения в два присеста 20 должностей судей Высшего хозсуда и точечные уменьшения "квот" для четырех дворцов отправления правосудия.
После этого судей хозяйственной юрисдикции в первой инстанции оказалось 751 боевая единица. Впрочем, эти новации не нарушали кардинально сложившуюся годами целостную картину. В отличие от приказа ГСА №842 от 8 августа 2017 года.
Этим актом закреплены нормы о том, что с 1 сентября прошлого года в 25 работающих хозсудах первой инстанции (без Севастополя и Крыма) устанавливается общая численность судей в количестве 619 человек. А с учетом 225 служителей Фемиды, отправляющих правосудие в апелляционных хозсудах, суммарный состав (без учета ВХСУ) составил 844 судьи хозяйственной юрисдикции. Такая штатная численность называлась в ГСА оптимальной, или же – "модельной".

Сокращения судей хозсудов образца осени 2017 года, источник фото: court.gov.ua
Сличение цифр показывает, что 75 квот "высвободились" после того, как в общий зачет перестали считать два хозсуда аннексированного Крыма, а также части неподконтрольной Украине территории Донбасса. Все остальные суды первой инстанции (за исключением Киева) суммарно "пощипали" на 66 кадровых единиц.
В итоге сложилась такая картина кадрового наполнения хозсудов первой инстанции:

Действующее на сегодня штатное расписание в судах первой инстанции хозяйственной юрисдикции, источник фото: court.gov.ua
С учетом "шахматки" образца марта 2018 года, в нее намереваются внести существенные изменения. И урезать квоты судьям первой инстанции с 619 до 397 человек.
Предложенная численность состава судей местных хозсудов – на 36% ниже отметки, закрепленной приказом ГСА полгода назад. А если сличать ее с эпохой президентства Виктора Януковича, то контраст еще более существенный: под нож пускают половину людей в мантиях.
Фартовый Киев и ЧП в глубинке
При этом без изменений остается численный состав только одного суда – в Днепропетровской области. Еще больше повезло Киеву, которому "накинули" 18 штатных единиц.
Что же касается прочих регионов, то ситуация выглядит более пессимистично:
- на треть предлагают "ужать" численность хозсудов в Киевской и Черкасской областях;
- в полтора раза сократить количество судей в Запорожской, Одесской и Херсонской областях;
- вдвое уменьшить персонал хозсудов в 11 регионах: Виннице, на Волыни, в Житомире, Закарпатье, Кировограде, Львове, Николаеве, Полтаве, Ровно, Сумах и Харькове;
- в 3-4 раза "срезать" штат судей в хозяйственных судах первой инстанции сразу 7 областей: Донецкой, Луганской, Ровенской, Тернопольский, Хмельницкой, Черновицкой и Черниговской.
В итоге сразу в 7 регионах ГСА планирует сократить штат судей хозсудов до 6 "штыков", а в Тернополе и Черновцах – и того меньше. Среди судей в ходу шутки – мол, вскоре дела в этих регионах попросту рассматривать будет некому.
"Просто представьте, один человек в отпуске, двое заболели, и все – тушите свет!" – говорят критики новшества ГСА.
В то же время Холоднюк, выступая на Съезде судей, заявил, что для судов пересчитали нагрузку, исходя из цифр прошлого года. То есть, по логике инициаторов сокращений, оно является обоснованным, потому что сокращается само число рассматриваемых дел в хозсудах.
"Еще один способ подвесить на крючок"
Опрошенные "Страной" бывшие и действующие судьи хозяйственных судов выразили недоумение предложениям с Липской.
"Цифры как по штатной численности, так и по модельным делам взяты буквально с потолка. Какой может быть расчет, если два месяца как вступили в силу новые процессуальные кодексы, по которым процедура рассмотрения дел однозначно увеличится", – говорит один из судей, согласившийся дать свою оценку происходящему на условиях анонимности.
Судьи приводят такую статистику. Снижение числа обращений в хозсуды составило за последние годы 23% (а сократить число судей планируют почти наполовину). При этом нагрузка на каждого судью осталась фактически неизменной или даже выросла, так как увеличились сроки рассмотрения дел в хозяйственной юрисдикции. Если в 2015 году этот процесс укладывался во всех трех инстанциях в семь месяцев, то сегодня достиг отметки в девять. О каких сроках будет идти речь в случае имплементации предложений Липской, покажет только практика.
Факт того, что "шахматку" готовили на основании еще старого УПК, признают и в ГСА. Здесь заранее указывают, что готовы подкорректировать свои расчеты с учетом замечаний судей.
"Мы еще будем проводить консультации, насколько увеличатся сроки рассмотрения дел ввиду нового процессуального законодательства", – заявил Зеновий Холоднюк.
В судейском корпусе этим обещаниям верят не все. У юристов встречается мнение о том, что за тотальным сокращением судей на самом деле стоит не столько Государственная судебная администрация, сколько ее кураторы на Банковой.
Которые таким образом, по согласованию с главой государства, в очередной раз пытаются подвесить на новый крючок отправителей правосудия де-юре и так ликвидированных с конца прошлого года судов.
"Чем меньше останется вакансий, тем более "чуткими" будут судьи к пожеланиям Банковой, подконтрольные которой структуры и будут проводить отбор судей – кто остается, а кто нет, – сказал "Стране" один из судей. – Ведь одно дело – когда численный состав новых судов примерно равняется составу судов расформированных, а другое дело – когда судьи понимают, что каждый второй из них не пройдет это сито. И, естественно, в такой ситуации любое пожелание АП будет выполняться. Холоднюк, кстати, признался, что 40 процентов судей отбор не пройдут. И никому не хочется попасть в эти 40 процентов отверженных. Итогом сокращения числа хозсудов станет отбор в них исключительно преданных нынешней власти кадров".
С другой стороны, уже высказываются мнения о том, что на истории с сокращением в ГСА хотят "сбить" с судей хозсудов денег. Один из собеседников "Страны" так описывает эту возможную схему: "Могут пытаться в обмен на вознаграждение предлагать увеличивать количество штатных единиц в судах".
"Одним из основных предметов деятельности хозсудов является осуществление правосудия в спорах между юридическими лицами, – говорит Елена Лукаш, экс-министр юстиции и адвокат. – Это, как правило, споры про активы. И, естественно, они важны для любого бизнесмена. Особенно, если он президент Украины. Контроль за этими судами – единственная цель судебной реформы и грядущих сокращений и ротаций в хозсудах. Схема по кадровому захвату хозсудов и превращению их в свои жертвенные алтари безусловно заслуживает внимания: бизнесмены при власти планируют назначать себе судей с целью укрепления личного благосостояния".
Один из действующих судей хозяйственного суда первой инстанции называет разосланные предложения попыткой окончательно поставить судебную систему под контроль Банковой.
"Максимально брутально и жестко власть пытается максимально подчинить ее вне зависимости от юрисдикции – гражданскую, уголовную, хозяйственную. Все эти люстрации, законы о возобновлени доверия к судебной ветви власти, квалификационные оценивания, проверки имущества, изменения в Конституцию и "реформы" – одного поля ягоды. Бьют по судьям, а параллельно – закрывают доступ людям к правосудию. Для этого повышают судебный сбор, усложняют процесс, увеличивают сроки рассмотрения дел, а теперь – урезают количество судей. Не думайте, что все ограничится хозсудами, то же самое ждет и создаваемые окружные суды. Глобально, все делается для того, чтобы у человека не было возможности прийти в суд", – говорит судья.




